http://dbd.game/killswitch
Diminishing Returns & New Perk Keywords
I am of the opinion that when it comes to stacking effects, in most cases we're actually pretty fine. Though there are definitely "problematic values" that can be reached. There might also be perk effects, that we have no problem on being strong in a build, or even stacking, but we don't want it to be as strong when the entire team runs it.
This post is dedicated to solving all such problems
DIMINISHING RETURNS:
Diminishing returns should be solved through Asymptotes. The mathematical formula that always allows values to increase, but never reach a certain number. For example, we could determine that any healing speed up to 200% is completely fine, and after that, we'd want it to start diminishing and never reach beyond 300%. That way, we could safely design any survivor perk with high healing speed without them ever clashing with each other or being able to create game breaking problems
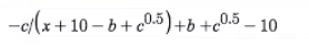
The way we can achieve that is through the following formula:
b: controls when we want values to start diminishing (starting exactly at b - 10)
c: controls the curvature at which it diminishes (how quickly it diminishes)
x: represents the value that we potentially want to diminish. For example total healing speed
b + (c ^ 0.5) - 10 = the value that you should never be able to reach
b - 10 = is where this formula intersects with f(x)
To get b and c you want. Use these 2 formulas:
Replace x with the number where diminishing returns should start: x + 10 = b
Replace x with the number that should never be allowed to be reached: (x - b + 10) ^ 2 = c
Now you have b and c that you can use in the main formula
So how does this work?
The blue line represents the original value, without diminishing returns. We'd want the blue line to transition to the red line where they intersect. So how do we achieve that?
Basically, every potentially problematic value uses this formula with custom b and c. So for example total healing speed, which we call x. As long as x is smaller than b - 10, we just use f(x) (the blue line), but whenever x is larger than b - 10, we use the outcome of our formula (the red line)
The IF statement that checks whether x is bigger than b - 10 is shown in the image above. By default, we follow the blue line, which has no diminishing returns. After the IF condition is hit (x is bigger than b - 10), we follow the red line instead, where values start diminishing, approaching but never reaching b + (c ^ 0.5) - 10
Feel free to play around with it and test values for b and c yourself at:
Desmos | Graphing Calculator
For a quick demonstration video, you can also check this out:
But enough for diminishing returns. Let's head to the next issue:
DIPLICATE PERKS:
Another problem we can solve is when certain perks are fine by itself but start becoming problematic when multiple survivors start running it.
Spaces like comp DBD have kind of already solved it by only allowing unique perks across the entire survivor team, meaning so survive can run a perk another survivor has. However, we can solve it in a more fun and public lobby friendly way by building on top of the already very nice addition to the game; perk description update
With certain effects having a beautiful custom name, like elusive, or personal, we can quickly communicate certain styles of effects. That's why we can add 2 more:
- Exclusive: Effect can only be triggered by the first survivor that triggers it. This for example, could be an effect that applies to Shoulder The Burden, where theoretically, multiple people can select that perk, but only 1 person can trigger the Exclusive part of the effect. (The perk could also have non exclusive effects as well). This means there's still value in multiple people picking this perk, like shoulder, where if the person with Shoulder gets hooked, another person with Shoulder could trigger the effect
- Expertise: Effect becomes stronger for each survivor that DOESN'T have the perk. In some cases, you might want to give the effect to everybody, but reduce the effect based on how many people run it. For example on an imaginary perk, Mega Boon:
Mega Boon
Your boons burn with purple fire instead of Blue. You can see the aura of dull totems withing 36 meters. Expertise: Increase the range of your boon totem by 100/50/20/5 %
This expertise perk would for example allow there to be 1 mega boon, but would prevent abuse from letting a full team cover the entire map too easily
SUMMARY:
If DBD used the Asymptote diminishing return method, we could perfectly solve problematic values forever, and with the brand new 2 keywords introduces, we could add an entire new paradigm in healthy perk design within the team setting without having to resort to restrictive rules like the ones comp DBD uses, creating an overall healthier game!
Comments
-
You spent a lot of time on explaining the math, but I think there are a couple of issues with this before the math.
For the sake of argument though, let's just say BHVR isn't worried about if the system is to complex to scare off players.
For example, we could determine that any healing speed up to 200% is completely fine, and after that, we'd want it to start diminishing and never reach beyond 300%If we, or BHVR, actually were able to establish a line in the sand where a number goes from fine to problematic then it would actually be pretty easy to solve through a number of mechanisms. However:
1: I don't anyone could really agree on where that line is and I don't think BHVR has any idea either. Its relatively hard to determine, and part of the reason its not just built into the game, because the trade offs associated with taking more of a perk slot come with increased risks.
2: Given that perks can come with multiple effects, putting a formula like this in also really changes the balance equation. Imagine you had two perks that granted a 100% bonus and no special effect, and two perks that granted 50% bonus and aura read. Under your idea the latter perks suffer no penalty, making them now the superior option. BHVR's idea punishes both approaches (which if the goal is to penalize specialized builds its a great idea, they say it isn't, I don't think it should be, but its the result they are currently going to get)
3: There's not enough perks or slots to justify it. If a survivor had 20 perk slots and the perks did a lot of minor things and people realized there was a broken 'hey, here's how you stack the following to make yourself uncatchable', then I could see it. But outside maybe Hope+MFT I don't really see how it exists on the survivor side (I think the idea that healing is even being discussed is wrong), and such a broad based approach isn't necessary if we're only looking at a couple of perk combos (edit: that could be addressed in much more direct ways).
4: More than one way to skin a cat - both BHVR's approach and yours don't address the idea that there could be a problematic outcome that can be achieved by multiple avenues. Let's say we think gen regression is problematic - we input a line on how much regression can be applied before returns decrease. Instead of taking all regression perks, the killer mixes it up with gen blocking, burst regression, and the max regular regression they can get value out of. The problem still exists, but all that's happened is adding additional coding and complexity while also decreasing build diversity.
Spaces like comp DBD have kind of already solved it by only allowing unique perks across the entire survivor team, meaning so survive can run a perk another survivor has.It's not so much that the perks are strong because they are run in tandem, its that certain perks are viewed in comp as the absolutely strongest perks and so little reason not to run them. Preventing that is a balance and enjoyability factor to create more varied games.
Exclusive: Effect can only be triggered by the first survivor that triggers it.Perks like Shoulder already have a built in limiting factor - it can end up a dead slot. If everyone brings Shoulder yeah someone is probably getting value out of it, but it was a commitment of a lot of resources to ensure that. You don't need an exclusive effect when there is already a detriment to overloading it.
And if BHVR wanted to limit SWFs from running multiple copies of a perk, they could do that by just preventing it from happening. Whatever the merits of the idea, they don't want to, but if they did the solution would be pretty simple.
Expertise: Effect becomes stronger for each survivor that DOESN'T have the perk.This just seems to be setting up SWFs to ensure they can easily get the max value out of their perks while soloq runs into each other.
3 -
"1. I don't anyone could really agree on where that line is and I don't think BHVR has any idea either"
I personally think the answers are quite easy. Let's take healing. Though healing already has a built in diminishing return, where the first 100% healing speed saves you 8 seconds of healing and another 440% healing on top of that would merely save 5 extra seconds, there is a genuine issue, where a heal might end up faster than the killer can m1 consecutively. The time that takes (which I guesstime to be around 2 seconds) would be C. And some extra leverage could be added to be B.
For vaulting speed, which in the past would include leader, giving 25%. The developers have clearly decided that 25% + resilience 9% + Spine chill 6% was too fast of a vault, which would be 40%. 25% itself was fine, and we see with Lara's perk that 20% is fine too. That means the right answer for C would probably be around 30%, which is a fine place to start, while starting diminishming at 20%. etc."2: Given that perks can come with multiple effects, putting a formula like this in also really changes the balance equation. Imagine you had two perks that granted a 100% bonus and no special effect, and two perks that granted 50% bonus and aura read. Under your idea the latter perks suffer no penalty"
Correct, such perks would suffer no penalty, and that is in fact something we should celebrate. The fact that they suffer no penalty, if we have set correct B and C values, means they never reach problematic values. Where as if you'd have 2 stronger perks, and they would start to diminish, that means that we have determined, in balancing B and C that at that tipping point lever, they have received disproportionate levels of power as a result of that stacking, which is why those perks will be fine, even if their values have some level of diminishment.
So this is in fact great overall. The only time where it wouldn't be great is where you'd have to assume we picked the wrong values for B and C, but that's an easy numbers change, taking less than 2 minutes."3: There's not enough perks or slots to justify it. "
There absolutely are. Though I agree that there are no healing perk combos currently that I would warrant needing to receive diminishing nerfs, due to my disagreement with stacking healing being a problem (unless reaching tipping point levels), we have already exceeded this when it comes to vaulting speed, back in 2019. And it also effected nerfs to unrelenting stacking with other perks, that too could've benefited from this mechanic. So this system is in fact needed, and would permanently solve all forms of problematic stacking values (within the same category)"4: … both BHVR's approach and yours don't address the idea that there could be a problematic outcome that can be achieved by multiple avenues… The problem still exists"
Simple disagreement. "General balancing issues" will still exist, but problematic stacking values will no longer exist. It's simply a different category of balancing issues that exists, which is completely unrelated to this current issue. This current issue in fact is completely fixed by this system, so that is a misconception. The problematic stacking value issue doesn't claim to solve all balancing issues in the game, but solves this particular one perfectly and indefinitely, due to our ability to determine through b and c exactly where we consider diminishing returns to be necessary, as well as allowing us to strictly define what the exact problematic value is that should never be allowed to by reached."It's not so much that the perks are strong because they are run in tandem"
It is very much so, as well, that when perks are ran in tandem that they cause many issues. The amounts of damage that big shoulder the burden, reassurance teams can do is completely throw off any balance in this game, which is also what ended the current highest Blight Winstreak with a 4 man out."And if BHVR wanted to limit SWFs from running multiple copies of a perk, they could do that by just preventing it from happening."
"This just seems to be setting up SWFs to ensure they can easily get the max value out of their perks while soloq runs into each other."
Like I said, preventing letting survivors pick duplicate perks is unnecessarily restrictive and reducing freedom, and assumes that keywords like Expertise are improperly balanced. If they are properly balanced, it won't be an issue that multiple survivors have it or "bump into each other", because the perks should provide extra value due to multiple survivors stacking it, which is why they were given the expertise keyword to begin with, exactly because of that disproportional stacking power nature. So it'd would indeed by the superior option for balancing, rather than unnecessarily restricting duplicate perks"For the sake of argument though, let's just say BHVR isn't worried about if the system is to complex to scare off players."
I understand why, upon viewing the post originally, due to it covering it in so much detail that anyone could use it to directly implement it, that the mechanic might look intimidating. However, to the player, none of this complexity has to be visible. What is visible to them is rather intuitive:
Each value (like healing speed / vaulting speed, etc.) has a value at which it starts giving diminishing returns and a value it can never go beyond. That's literally all they need to understand.
In communication to players, let's say we want to communicate how vaulting speed diminishing returns work;
Vaulting speed: starts giving diminishing returns beyond 20% bonus speed and never exceeding 30%. Boom. Easy, intuitive, and fool proof, preventing problematic values from ever being reached.
Even the development of this system is rather easy.
1 function that let's you determine where diminishing returns should start (which determines b)
1 function let let's you set where diminishing returns can't exceed (which determines c)
1 function that checks a particular stacked value whether it's bigger or smaller than b - 10. If it's smaller, just keep the value as is. If it's not, use our diminshing formula with our b and c.
That's all there is to it. Both easy for players to understand and easy for the Devs to work with. Once the functions are implemented, all the devs have to do for every potential problematic value is defining where diminishing should start, and what it shouldn't be allowed to exceed, and they solve the problem forever
For example (just guestimated values btw):
Healing speed: Start diminishing at 400%, don't exceed 500%
Vaulting speed: Start diminishing at 20%, never exceed 30%
Lunge recovery Speed: Start diminishing at 50%, never exceed 100%
etc.
And the issue is gone forever0 -
This is how easy it would be to implement it programmatically:
And once implemented, this is how easily it can be used:
In here, we're simply setting vaulting speed diminishing start at 20%, and setting the maximum amount at 40.
Then we can just run the real value the player has, which in this example is 21 and get the slightly diminished outcome (since 21 is slightly higher than 20)
(Assuming we're working with a multiplier, we'd want to set it to 1.2 and 1.4 instead of 20 and 40 in the real code of course, but for understanding purposes we use the % representation)1 -
I personally think the answers are quite easy. Let's take healing.Hypothetically with healing - presume there was the possibility of a point where healing exceeds a breakpoint of being able to heal faster than a killer can hit (which would be something like a 570% healing bonus though it gets tricky with the fact that heals rarely start right away) - you don't need the formula for declining returns, you just need a hard stop.
Vaulting is the same thing - if you got to a point where a certain percentage was just too much a hard cap is far clearer for players to understand.
Putting the formula in place creates another potential error point where the game design could get something wrong, when if you have a clear 'this should never exceed X' dealing with just that issue is the better approach.
Correct, such perks would suffer no penalty, and that is in fact something we should celebrate. The fact that they suffer no penalty, if we have set correct B and C values, means they never reach problematic values.That's not the issue, its game balance and goals
Right now perks are balanced around a few different concepts, but one of them is strong effect and nothing vs weak effect with something else.
You're substantially boosting the latter perk design which has a number of balance effects. In turn you are saying a side can have more without sacrificing, while BHVR is taking the approach that any type of stacking will come with penalties. It's not the 'problematic' issue, the principle of the design seems to disincentive stacking. Your design and theirs have different goals.
Simple disagreement. "General balancing issues" will still exist, but problematic stacking values will no longer exist.This part you're responding to is not a 'general balancing issue' so the response is off.
You need to identify what the core of something being problematic is first. For gen progression the concept might be that too much of it makes the game too quick. However if the designed method, yours or BHVR, only identifies one way of solving the issue, you haven't fixed the problem (in this case for example reducing combining perks like Deja Vu and Resilience together, but treating Hyperfocus and Toolboxes as different percentages means the same problem still exists)
It is very much so, as well, that when perks are ran in tandem that they cause many issues. The amounts of damage that big shoulder the burden, reassurance teams can do is completely throw off any balance in this game, which is also what ended the current highest Blight Winstreak with a 4 man out.You're changing the argument structure. You cited comp, I responded based on comp, and now you're going to something else.
If you want to restructure the point okay, but let's be clear about that first.
If they are properly balanced, it won't be an issue that multiple survivors have it or "bump into each other"You're presuming a level of perfection in the design that you can't guarantee will be achieved. You're adding more complexity and variability into the design that advantages a side which has coordination. If we can just skip everything to 'properly balanced' there's lots of gameplay additions that would be easy to put in.
In this case I find it very difficult to believe that expertise as a concept wouldn't be a massive advantage to a SWF who could make the decisions on whether or not running multiple copies of the perk maximizes value.
However, to the player, none of this complexity has to be visible.Players don't like this. They want to know how systems work, even when its 'well, this probably won't happen'.
Even the development of this system is rather easy.Outlining a math solution is easy.
Coding it probably is not too hard.
The issues though remain -
A: Determining the values for lots of issues will be difficult - you look to vaults and heals at an extreme edge, what would be a problematic level of gen progression? Do we base it on all four survivors or an individual? How do we factor in limited use progression of things like toolboxes vs. constants like Deja Vu? Do things like Great Skill Checks and Hyperfocus come into the equation at all?
B: BHVR wants something different than what you do.
C: For the examples you cite, a hard cap more easily deals with the issue
0 -
You posted while I was typing my first response
The difficulty of game design elements on this is not coding. I don't think I ever implied it was. So I'd urge you to look back to my original response on where the problems actually occur because if that's what you think the takeaway was, we need to clarify that first, because otherwise this is just becoming a non-sequitur.
0 -
"Putting the formula in place creates another potential error point where the game design could get something wrong"
The beautiful thing about this system is, even if you believe a certain value is better off a hard stop, this system is still superior, because this system is both capable of acting like a direct hard stop, as well as a gradual fall off. Making it more versatile and only needing 1 solution to multiple problems. All a hard stop system would do is you needing multiple systems if another problem was better solved through a gradual fall off.
This system solved all those issues with 1 small-code solution."You're substantially boosting the latter perk design which has a number of balance effects. In turn you are saying a side can have more without sacrificing, while BHVR is taking the approach that any type of stacking will come with penalties."
Correct, the currently proposed diminishing returns effect does serve a different philosophy; it unnecessarily harms build variety and attacks stacking perks, that don't have to form any issue, and have decided to do so for no reason. They are attacking a problem that don't exist. The only problem with stacking perks is the ability to reach problematic values. Their current solution doesn't solve that. It randomly bullies people who run Botany with Empathic Connection, who have a mere 80% total healing speed and punches them in the face to reduce it to 65%. It makes 0 sense. And this problem doesn't have to exist, because we already have the solution in the post above."but treating Hyperfocus and Toolboxes as different percentages means the same problem still exists"
Like I said, random perks and items, like toolboxes, perks that give gen speed as well as hyperfocus not interacting much with neither my solution, nor the dev's solution proves my point. It's unrelated to this topic of stacking values, and simply a separate balancing issue. An issue for sure, I agree. But irrelevant to this topic of stacking values within the same category, which is what the diminishing returns update method targets.
A solution to such an issue, for example maximum overall global gen speeds is solved with ideas that are completely unrelated to how to deal with stacking values. And I do have covered topics addressing maximum gen-rush speeds, but like I said, it's simply a separate balancing issue and it's not relevant to the discussion of stacking values within the same category, neither would such topics have much to do with how we should handle stacking values within the same category.You're presuming a level of perfection in the design that you can't guarantee will be achieved. You're adding more complexity and variability into the design that advantages a side which has coordination.
I'm not assuming perfection. I'm just assuming normal balance. Like I said, saying that survivors bumping into each other would be an issue with Expertise assumes that the lower tiers are improperly balanced and the first tier isn't. There's simply 0 reason to assume that it would be.Players don't like this. They want to know how systems work, even when its 'well, this probably won't happen'.The system is super transparent and easily understood;
Your vaulting speed starts diminishing beyond 20% and can't go beyond 40%. The more beyond 20% you go, what you receive back starts reducing exponentially. (And quite perfectly exponentially for a fact, by a square root amount)
This type of scaling is actually a super common practice in many games, and nowhere is it hated. The formula we use here, fun fact, is inspired by how League of Legends calculates armour % damage reduction. One of the most successful and beloved e-sports games in the world.The issues though remain -A: Determining the values for lots of issues will be difficult - you look to vaults and heals at an extreme edge, what would be a problematic level of gen progression? Do we base it on all four survivors or an individual? How do we factor in limited use progression of things like toolboxes vs. constants like Deja Vu? Do things like Great Skill Checks and Hyperfocus come into the equation at all?This is plainly false. I've shown the issues that were solved. We no longer randomly bully people who run Botany + Empathic Connection for no reason whatsoever. Plus we make it impossible to reach problematic values, yet make any perk always contribute to more power.
You also once again bring up gen progression as a whole through any mechanic. Once again, that is a separate issue, that's not related to stacking values within the same category. For example, the current reduction to doing gens is one of the ways that tackles that, but it's unrelated to the current issue and mechanic being discussed. Hell, we could even have a multiplier that lowers gen speed when multiple survivors work on a generator at the same time. All cool ideas, interesting to overall game balance, yet completely irrelevant to this post and the system proposed by the devs to deal with stacking values within the same category. When we discuss bloodlust and implement an alteration, we don't complain it about not slowing down gens enough as well or trying to solve every other balancing issue in the game; They're simply separate topics
The only part that would be relevant to this post is perk like Deja Vu, Resilience stacking (not hyperfocus), and yes, there easily could be a diminishing return value for it. Assuming 450 total gen time, any speed above 20% would nearly scrape off an entire generator if the whole team ran it, so I'd set diminishing, starting at 15%, never reaching beyond 20%. Imagine you had 21% gen speed, the calculator would reduce it back to 17.72727272%B: BHVR wants something different than what you do.
They don't want to do something different than what I want to do. They want to solve problematic stacking values. Though not only within the same category, but in concept more abroad too. However, that second part they haven't achieved with the current diminishing returns mechanic, and within the same category, they've created unnecessarily harmful sideconcequences of a bad system that doesn't accurately achieve what it's set out to do, which is stopping problematic stacked values (The Botany Empathic Connection example).C: For the examples you cite, a hard cap more easily deals with the issue
My system is literally a hard cap + a gradual slider. It's not more complex than that, though it is more versatile, and for that, it is better. Especially because this versatility avoids more unintended harmful side-concequences, where certain perks just stop completely adding value. My system fixes that issue by allowing any perk to infinitely contribute, however, diminishingly so.
A pure flat cap, at say 100% speed of whatever would have the side concequences of:
Perk 1: gives 80% speed
Perk 2: gives 50% speed + effect 1
Perk 3: gives 20% speed + effect 2Assume a player either wants to run perk 1 and 2, or else perk 1 or 3, in which perk 3 has lesser healing speed due to the second effect being stronger.
A purely flat cap would randomly break and destroy the balancing between the perk 2 and 3's effect. Since player 1 could only have perk 1 and 2 for 100% speed with a weaker effect, or perk 1 and 3 for 100% speed and a stronger effect, removing any reason to ever pick perk 1 and 2.
My system would solve this perfectly, and prevent the random breaking caused by a purely flat cap, allowing perk 2 to still contribute more to healing while preventing problematic values, which is why it's the superior system.Post edited by AlwaysInAGoodShape on0 -
I don't see why you assume that comment is a response to you. I never quoted you in it, so it doesn't require me to look back at any of your responses.
0 -
The beautiful thing about this system is, even if you believe a certain value is better off a hard stop, this system is still superior, because this system is both capable of acting like a direct hard stop, as well as a gradual fall off.But why do you need a gradual fall off?
Let's take healing - let's say 600% allows the survivors to heal before the killer can finish the wipe animation and we'll even set aside the idea of ping.
Why do you need to reduce the speed at any point before 599% (or if taking ping into account, something like 575% to make sure it doesn't occur)? That's the problem point, anything before that isn't a problem.
The only problem with stacking perks is the ability to reach problematic values. Their current solution doesn't solve that.Okay, you and BHVR have different goals (I'll get to this more later). That's fine. Their solution also 'solves' the problematic values, it just does other things you don't like.
Basically then I'm back to if the issue is that something becomes problematic at X point, and everything up to X is not an issue, what's the relevance of a gradual fall off?
The system is super transparent and easily understood;Your vaulting speed starts diminishing beyond 20% and can't go beyond 40%. The more beyond 20% you go, what you receive back starts reducing exponentially. (And quite perfectly exponentially for a fact, by a square root amount)Saying something is easily understood and then getting to square root I don't think is accurate.
LoL is a very different game design than DbD, especially given BHVR's stance about simplifying things like perk design.
This is plainly false. I've shown the issues that were solved.To be blunt: no, you haven't. It addresses what you consider the issue, but still faces the same problem that any sort of declining returns has - where do they start and how much?
Once again, that is a separate issue, that's not related to stacking values within the same category. For example, the current reduction to doing gens is one of the ways that tackles that, but it's unrelated to the current issue and mechanic being discussed. Hell, we could even have a multiplier that lowers gen speed when multiple survivors work on a generator at the same time. All cool ideas, interesting to overall game balance, yet completely irrelevant to this post and the system proposed by the devs to deal with stacking values within the same category. When we discuss bloodlust and implement an alteration, we don't complain it about not slowing down gens enough as well or trying to solve every other balancing issue in the game; They're simply separate topicsThere's a difference between bloodlust and what you're talking about -
If the problem is that survivors can finish gens too quickly, and the solution in place doesn't actually change that, it just limits build diversity, then the solution has accomplished nothing.
Bloodlust (subjectively) improved the idea of killers being caught in chases for too long or having to deal with to powerful of loops. It improved a game element. That there are other issues is a different topic, but the thing that bloodlust set out to fix it did.
Assuming 450 total gen time, any speed above 20% would nearly scrape off an entire generator if the whole team ran it, so I'd set diminishing, starting at 15%, never reaching beyond 20%. Imagine you had 21% gen speed, the calculator would reduce it back to 17.72727272%So in this hypothetical world, Overzealous is just automatically nerfed after cleansing a hex totem down to 17.7%.
That does serve as a good example though of things in the game that the formula can't address. Let's say a survivor brings Overzealous and Resilience - they take the time to find a totem and they elect to stay injured. They've made trade offs for the gen speed they have, but the formula can't tell the difference between perks that just give a flat benefit and perks that require time investment / risks somewhere else (neither does BHVR's, but I don't think either idea would work). We're just suddenly saying this combination, which is in no way good, gets a nerf.
You're starting the math at the 450 and 20%, but DbD's nature is that perks are rarely just flat values, but have costs and trade offs associated with them and thus the considerations and math needs to start earlier.
They don't want to do something different than what I want to do. They want to solve problematic stacking values.Based on the stream, they seemed more interested in clamping down on specialized builds meant to do a single thing. The idea of Hope+MFT is also in there, but I don't think that's their only goal.
It's not more complex than that, though it is more versatile, and for that, it is better. Especially because this versatility avoids more unintended harmful side-concequences, where certain perks just stop completely adding value. My system fixes that issue by allowing any perk to infinitely contribute, however, diminishingly soThere seems to be a back and forth on problematic values.
If a problematic value is known, we don't need versatility.
If a problematic value is not known, any solution has the issue of negatively impacting the game by choosing the wrong value.
As for infinitely contribute - this is like BHVR giving 4th and 5th effects values of 12.5% and 5% - in the scheme of the game values that are meaningless. A hard stop is at least forthright about where the issue is.
A pure flat cap, at say 100% speed of whatever would have the side concequences of:to
My system would solve this perfectly, and prevent the random breaking caused by a purely flat cap, allowing perk 2 to still contribute more to healing while preventing problematic values, which is why it's the superior system.Part of the issue of where you say the system solves it perfectly is where you put the values.
Why would a value of 100% be a problem? If it is really that simple to achieve problematic values, then we might as well do BHVR's idea. But if problematic values are very hard / borderline impossible to achieve (i.e. healing before a killer finishes a weapon wipe), then all you need is a hard stop.
Which I guess gets to what you think the issue with DbD is. Are problematic values easily and frequently achieved, or are they rare things like a hypothetical healing speed or vaults that we have to go back to 2019 for? The specific examples you give rely on extremes, but the hypotheticals you create make extremely common situations - that's two very different ways of thinking about what is a problem.
I think its at worst a very rare thing, thus both solutions create more problems than they solve.
General principles of a discussion forum is that posts made after the initial post, unless stating otherwise, are responding to the ongoing discussion. As I'm the only one involved in the discussion, it thus looks like a response to me, otherwise its just kind of randomness.
0 -
"But why do you need a gradual fall off?"
As illustrated in the last provided example about perk 1 2 and 3, it prevents certain problems that don't have to exist.
Even in cases, like healing speed, where there is a clear tipping point (Exactly the time it takes to "recover" from an m1 attack) that would make it impossible for killers to down a survivor who is constantly being healed (Let's guesstimate that to be 2 seconds), there is still a window where it is pretty much ALMOST completely problematic, like 2.2 seconds, where a killer might hit and is barely able to hit the survivor again. Creating a max cap at 2 seconds (guesstimate) and starting the fall off at 2.5 seconds would be ideal to prevent any value edging too close to the absolute most problematic values, and keep any perk contributions in values valuable, as illustrated in the 1, 2 3 perk example.
Keep in mind that my entire post is nothing more than suggesting a system for a max cap + a gradual fall off. That is quite literally the summary of what I'm suggesting (while of course also providing the exact implementation details on how to do so mathematically)
"Okay, you and BHVR have different goals (I'll get to this more later). That's fine. Their solution also 'solves' the problematic values, it just does other things you don't like."
It in fact doesn't solve problematic values. There is nothing guaranteeing perks not reaching problematic values or going beyond a certain point. Surely for healing speed, they would have to screw up significantly with perks in order to reach those problematic values, but through perks like m1 recovery speed with perks like unrelenting, if they'd keep adding perks around that, they could certainly run into the issue again. For the simply fact that the current solution doesn't perfectly solve the issue, and even creates new ones.
The perfect solution to the problem is very easy, and it's provided in details in the post above."Saying something is easily understood and then getting to square root I don't think is accurate."
Everyone is familiar with an exponential increase or decrease intuitively. Of course, if you use mathematical language, they wouldn't connect the dots as easily, but the point I'm making is, the square root (whether you understand it or not), is in fact the most intuitive exponential decline there is.
A value diminishing at 20%, never reaching above 40% and diminishing harder the more you go beyond 20% is quite easily understood. The more you stack beyond it, the less you get back. It's that simple. And the communication to players doesn't have to be complicated than that. Players never touch any of the math behind it."To be blunt: no, you haven't. It addresses what you consider the issue, but still faces the same problem that any sort of declining returns has - where do they start and how much?"
I evidently have, and the fact that you're denying it shows.
1. My system both avoids random casualties like the Botany Empathic combo. (Current solution by devs doesn't)
2. Makes problematic values impossible (Current solution by devs doesn't)
3. Keeps any value a perk provides add value (A purely flat cap lacking a gradual fall off doesn't)
And then the problem you propose is simply having to define what the problem is? That is just funny to me. That's the lack of a problem. If we can't define a problem, that means a value doesn't create a problem from stacking, and if there is a problem, we should have no problem defining it. (It's kind of magical to me that you're pretending that having to define a flat cap is an issue by itself, as the Devs had no problem doing that back when they capped the luck mechanic. It's rather easy)"Bloodlust (subjectively) improved the idea of killers being caught in chases for too long or having to deal with to powerful of loops. It improved a game element."
Thank you for proving my point. Bloodlust improves a game element, and so does this change improve a game element, just like any other random balance change suggestion. With this change, we have permanently solved any problematic stat stacking forever. But since you're keen on also solving a separate issue unrelated to this post, which is a minimal game length mechanic revolving gen speeds across the match through means of single, multiple survivors working on a gen, gen speeds, skill checks as well as other mechanics, sure we can talk about that too! So let's have a try at it
MINIMAL GAME LENGTH MECHANIC:
Gens receive an overcharge mechanic; There is a hidden bar, from 0 to a 100, that as it fills up, causes people to repair generators more slowly. The bar starts filling up whenever a survivor is contributing more than 1.05 charge per second, through gen speed increase, great skill checks, "unregressable progress" like BNP, etc. The higher it gets to a 100, the more the slowdown becomes. Slowly starts to decay when a survivor is adding less than 1.05 charges per second.
In this example, we'd allow survivors to work up to 5% gen speed permanently without any diminishing returns, to account for normal great skill-checks etc. and could of course refine the mechanic and it's formula in a dedicated post.
But since minimal game-length mechanics are deserving of their own post, I don't see a reason to develop them further on a post that's related to a different mechanic!"So in this hypothetical world, Overzealous is just automatically nerfed after cleansing a hex totem down to 17.7%."
Correct. For a perk like overzealous where there is a significant time investment, it would get punished for being 20% to compensate for that. (As would the dev's solution). However, I'd argue here that if we do not believe the maximum speed to be the problem, (as you argue from it's point of that speed only being achievable for shorter time periods), it would be the longer term progress of the perks with that gen speed that would be the issue. In such a case, it wouldn't be the task of perk stacking values to solve that problem, but that would be tied to a different game mechanic entirely, like the one I just discussed, regarding a minimal-gamelength mechanic, which would be responsible for gen speeds. In such a case, we could be more liberal in what we'd consider the maximum gen speed to be before we'd consider it to be problematic, as the minimal gamelength mechanic would account for over the top gen-rushing, and therefore balance problems like you mentioned with Overzealous, and allow the diminishing stacking return speed mechanic to manage problematic values, where survivors might be able to complete a gen before killers would be able to interrupt it, in which case, the values of it would be significantly more liberal"Based on the stream, they seemed more interested in clamping down on specialized builds meant to do a single thing. The idea of Hope+MFT is also in there, but I don't think that's their only goal."
Like I said it's not their only goal. But the other goal they are trying to achieve they aren't achieving with their current mechanic, and the same goal they don't achieve either, while also creating unnecessary casualties, where as my simple diminishing returns mechanic into flat cap fixes the problematic values problem from stacking perks perfectly and indefinitely, and could revive perks like Leader to affect vaulting speed. Fixes issues stacking perks like Unrelenting had with other perks, allowing them to be buffed again, would allow any healing perks stacking to thrive without an issue and would make any movement speed stacking completely safe, making life easy for the perk design team and creating maximum creative liberation. For that reason it's a no brainer to implement it."If a problematic value is known, we don't need versatility.
If a problematic value is not known, any solution has the issue of negatively impacting the game by choosing the wrong value."
This is the beautiful thing about this system. Let's take movement speed. Clearly survivors being as fast as a 110% killer would be problematic, but exactly by how much might be unknown.
My diminishing return system would both allow them to define an absolute problematic value, as well as create some grey zone through the earlier fall off. That way, they don't even need to know the exact problematic value as the grey zone will already create diminishing earlier. That means whatever they think the problematic value is, whether they're exact or slightly off, it won't be an issue, because nobody will exactly reach it. Some perks allow them to get closer to it, but never there. That's the beauty of using Asymptotes for dealing with diminishing returns. They are the mathematical perfect solution"I think its at worst a very rare thing, thus both solutions create more problems than they solve."
I find that you have rather proposed very few real problems that they cause. And that I have provided a lot of real problems that they solve. The majority of your arguments have been "But then you'd have to define it". Well guess what; the entire system the devs are currently rolling with is letting it be a COMPLETE guesstimate on whether any issue of stacking is remotely solved. But if there is a problem with stacking values, then by DEFINITION it can be defined, and then the only system that perfectly tackles that without creating the most random casualties like the current devs version cause, is literally a system that allows us to exactly define where that problematic value is and making it impossible to achieve it, as well as a gradual drop so that it never edges exactly too close, while also preventing other problems caused by a flat cap.
(And once again, my system is quite literally a defined gradual fall of into a flat cap. It's really not more complicated than that.)"General principles of a discussion forum is that posts made after the initial post"
This is simply an assumption, and is incorrect. Responses are responses, especially with every response from me both quoting and quoting the exact part I'm responding to0 -
Additionally, you could also reduce calculations by just storing the square root of c directly, further simplifying the calculations ran for the diminishing formula, which is more optimized.
DiminishingReturnFormulaValues struct would then contain fields of B and SquareRootOfC and the main formula would just use SquareRootOfC directly. That way, you reduce how many times you have to call use Power and Square Roots;(In this case, we don't raise C to the power in the constructor, so we don't need the square root in the main formula. All we need to do is raise it to the power once in the main formula there instead)
Post edited by AlwaysInAGoodShape on0





