http://dbd.game/killswitch
What YOU get WRONG about stacked healing builds
INTRO:
I personally found it funny how many people misunderstood self-care back in the days. For those of you who didn't know, a large portion of the community believed that a 32 seconds self care was weak and "was just throwing the game". Apparently, it didn't occur to people that a 32 second heal, only requiring 1 person, is the equivalent of a 16 second heal, requiring 2 persons, as both take a total of 32 seconds of team-time. Where in the self-caring case, the 2nd person is free and can spend 32 seconds doing gens. That is what used to make self-care so superior, because it was actually a "heal speed increase", because it also halved the team time needed to position yourself for a heal, as well as run back to an objective, and halving the amount of pressure a killer could apply to the team.
Today, the same simple mathematical misconceptions have risen their head around the topic of Stacked healing speed. That is why, in this post we're going to be clearing your misconceptions forever!
STACKED HEALING & DIMINISHING RETURNS:
For those of you who don't know, stacking healing speed has a diminishing return system built into it. The fact is, the further you stack healing speed, the fewer seconds you save. That is why, for example, if you ran a build like leader, giving merely 25% healing speed, that speed could be stronger than a stacked build adding another 100% on top of it would be able to save you in healtime. In summary; the first few % are superior in reducing healing times.
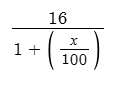
This is how you calculate the speed of a 2 person heal:
16 / 1 + (x / 100) = how long the heal will take. With x being how much % speed increase.
So let's look at an example, a simple 100% healing speed. Entering it into the formula, we end up with a healing speed of 8 seconds. Which is exactly half!
Now what would happen exactly if we got another 100% healing speed? Would the heal reduce the time it takes to heal to completely 0?! Of course not! Because the time saved starts diminishing; At 200% healing speed we end up with a heal taking 5.3333 seconds.
Notice how a second 100% only increased the speed by 2.666 seconds, where as the first 100% heal increased our speed by 8 seconds?
Well, it gets even worse! if we'd add another 100% healing speed, for a total of 300%, we'd end up with a heal of 4 seconds. Notice how our third perk, in this case only helps us save 5.33333 - 4 = 1.33333 seconds?!
(table for visualization)
1st 50% gives 16 - 16 / 1.5 = 5.4 seconds saved
2nd 50% gives 16 / 1.5 - 16 / 2 = 2.6 seconds saved
3rd 50% gives 16 / 2 - 16 / 2.5 = 1.6 seconds saved
4th 50% gives 16 / 2.5 - 16 / 3 = 1.06 seconds saved
5th 50% gives 16 / 3 - 16 / 3.5 = 0.76 seconds saved
In fact, we would need to add 330% of healing speed to our 100% healing speed build and the second 330% would only scrape of 5 seconds, where as the first 100% scraped of 8 seconds by itself alone!
This graph shows the exponential drop off in value you get back from stacking healing speed, with x being the % of healing speed increase, and y being the total amounts of seconds that heal takes at that healing speed increase. With x being 0, that of course is 16 seconds:
If you look at the graph, it would take approx 129% healing speed to scrape off 7 seconds from a heal. Which would be slightly more than 1 perk. However, to scrape off another 7 seconds, we would need to reach a total of 700% healing speed, which would be around 7 perks
So while you've been stacking all this time, thinking you were getting stronger, all you were getting is less bang for your buck.
But that is not to say, that stacked healing could never be problematic; It would be problematic if it managed to reach a speed at which you can heal faster than the killer can recover from their m1 attack, making it impossible to down. This value however, is realistically never reached. If you are however interested in how such problematic value could be properly prevented, feel free to check out Diminishing Returns & New Perk Keywords — BHVR
I hope that helped clear up the misconceptions anyone might've had around Stacked Healing! Will you appreciate low healing speed builds more, knowing their lower % disproportionally contribute to your healing speed, like Leader or Empathic connection? Or will you keep stacking for the high intensity heals close to the killer where the disproportional fall-off might be worth it? Let me know in the comments down below, and happy stacking ❤️
Comments
-
I'm just worried healing builds are going to be super dead this update bar the one perk.
but it's good to know regardless lol thanks for the charts, I really hope they are maybe converting them to flat increases and then applying the diminishing returns.2 -
Just wanted to send some appreciation for taking the time to really break this down. It’s very impressive. Thanks for sharing!
3

